华中农业大学成考微信交流群
扫一扫加入微信交流群与考生自由互动、并且能直接与资深老师进行交流、解答。
华中农业大学成教热门
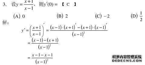
2013年华中农业大学成教高等数学预测试题(5)
来源:华中农业大学成教 发布时间:2013-08-07 查看:145次
最新成考各种真题资料包,限时免费领取!
最新成考备考资料免费领
填写信息后即可免费领取以下
成考备考大礼包
-
成考《大学英语》直播课+网课
资深老师千人直播课内容:大学英语语法课程
-
成考内部在线刷题软件
内部在线刷题系统,无限模拟刷题考试
-
最新成考招生专业对照表(公办/民办)
汇总湖北所有成考高校招生专业+计划+解析
-
同城/同校/同专业考生交流群
内部考生交流微信群免费进,交友学习两不误

在线咨询










